Mới đây, 798 chủ phương tiện có biển số vi phạm chạy quá tốc độ trên Quốc lộ 1A thuộc tỉnh Lâm Đồng đã nhanh chóng thực hiện nộp phạt nguội theo quy định của Nghị định 168/2024/NĐ-CP. Việc này đánh dấu bước tiến trong công tác đảm bảo an toàn giao thông và nâng cao ý thức tuân thủ pháp luật của người tham gia giao thông trên tuyến đường huyết mạch quan trọng này.
Tổng quan về sự việc vi phạm tốc độ trên Quốc lộ 1A tại tỉnh Lâm Đồng
Quốc lộ 1A là tuyến đường trọng điểm nối liền các vùng miền, do đó việc đảm bảo trật tự an toàn giao thông trên tuyến đường này luôn được ưu tiên hàng đầu. Gần đây, lực lượng chức năng tại tỉnh Lâm Đồng đã phát hiện một số lượng lớn các phương tiện vượt quá giới hạn tốc độ cho phép khi lưu thông trên đoạn đường này, từ đó triển khai các biện pháp xử lý nghiêm minh nhằm răn đe và nâng cao ý thức chấp hành luật giao thông.
Thời gian và địa điểm phát hiện vi phạm
Vụ việc được ghi nhận diễn ra trong khoảng thời gian đầu năm 2024, tại nhiều vị trí trọng yếu trên Quốc lộ 1A qua địa bàn tỉnh Lâm Đồng. Các thiết bị giám sát tốc độ hiện đại cùng hệ thống camera tự động liên tục ghi lại hình ảnh và tốc độ của các phương tiện lưu thông, giúp cơ quan chức năng xác định chính xác thời điểm cũng như vị trí vi phạm để xử lý hiệu quả.
Số lượng phương tiện vi phạm và biện pháp xử lý
Tổng cộng có đến 798 chủ xe được xác định chạy quá tốc độ quy định qua hệ thống giám sát. Các trường hợp vi phạm được lập danh sách chi tiết và gửi thông báo tới chủ sở hữu phương tiện để phối hợp xử lý theo đúng quy trình phạt nguội. Biện pháp xử lý bao gồm việc nộp phạt tiền, trừ điểm bằng lái và các hình thức kỷ luật khác nếu vi phạm nghiêm trọng hoặc tái phạm.

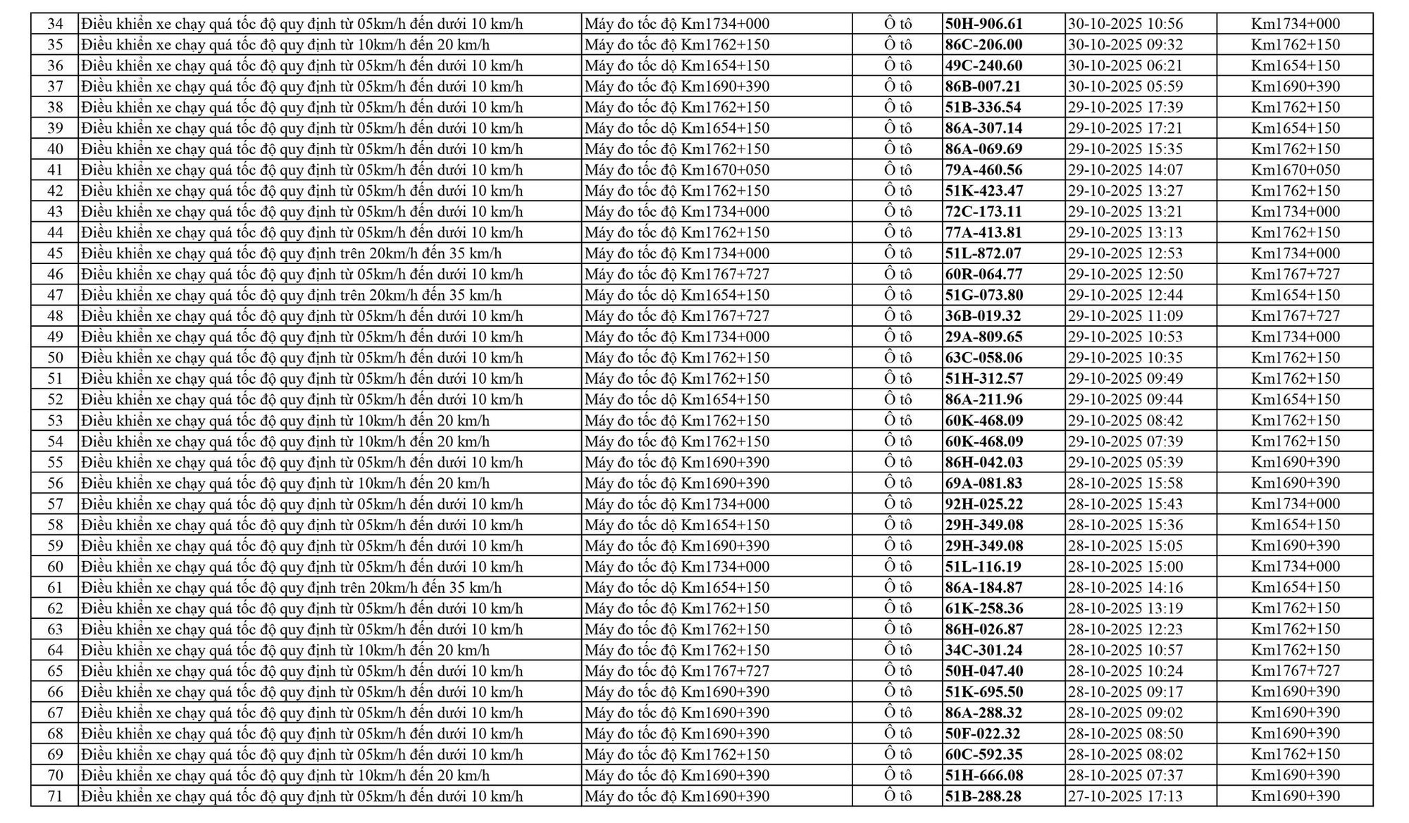
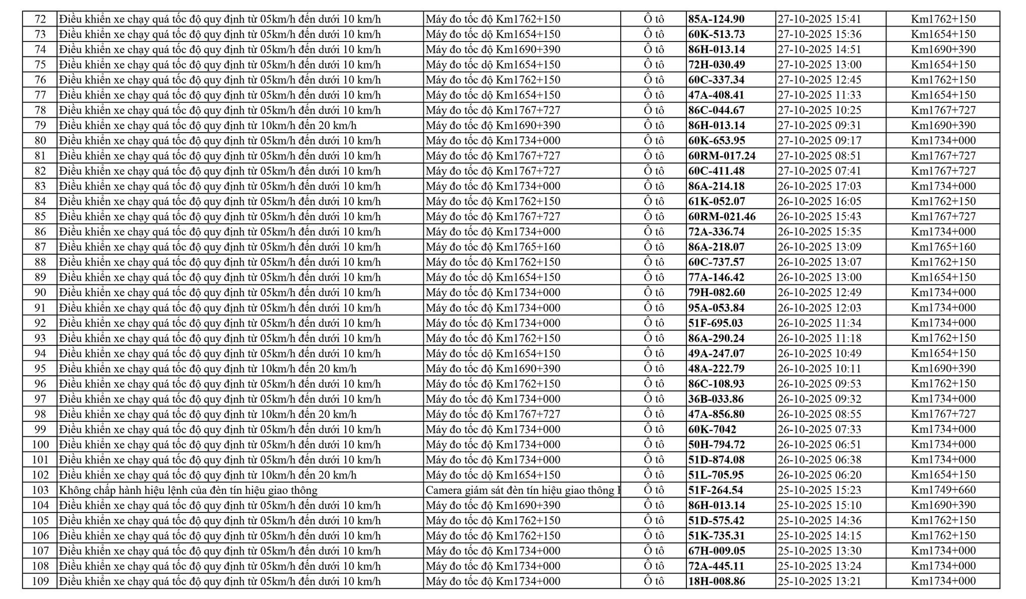
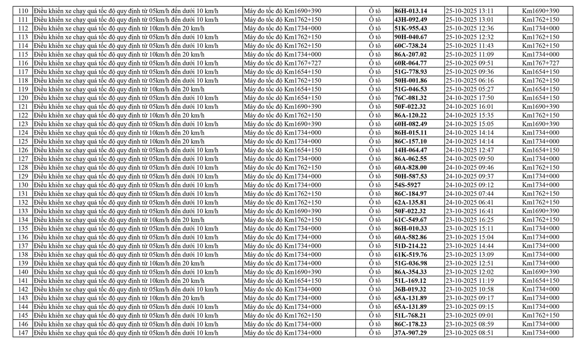
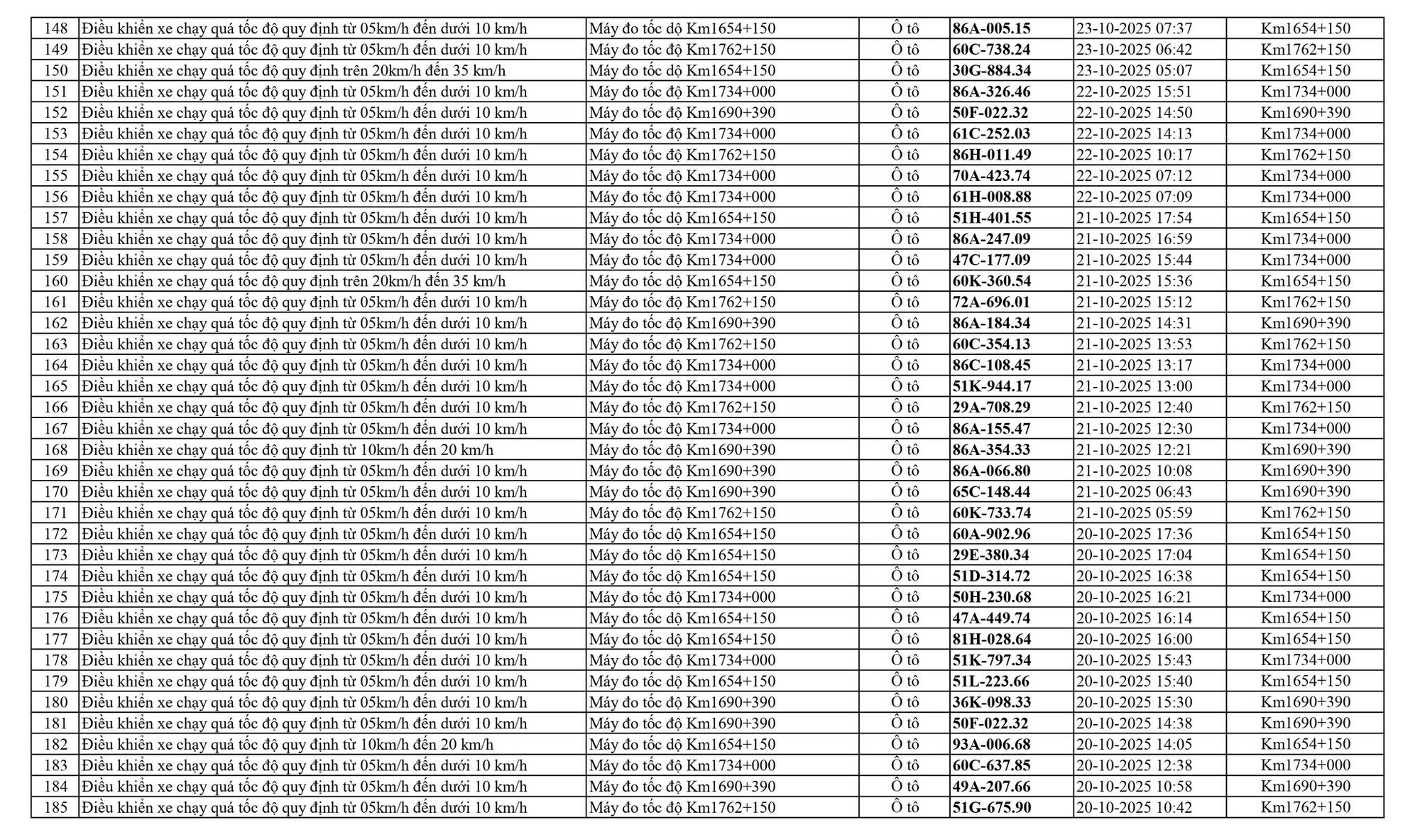
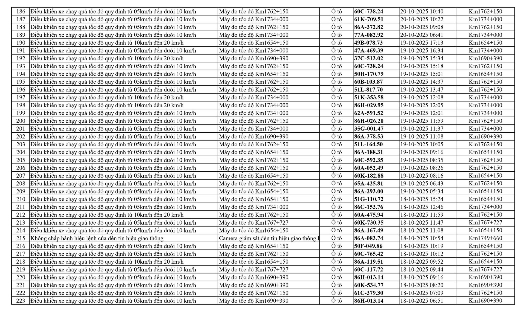
Danh sách biển số phương tiện vi phạm

Ghi nhận hình ảnh vi phạm
Quy định xử phạt vi phạm tốc độ theo Nghị định 168/2024/NĐ-CP
Nghị định 168/2024/NĐ-CP đã cụ thể hóa mức xử phạt đối với các hành vi chạy quá tốc độ nhằm tạo nên sự nghiêm minh trong thi hành pháp luật giao thông đường bộ. Theo đó, mức phạt tùy thuộc vào loại phương tiện và mức độ vượt quá giới hạn cho phép, đi kèm với các biện pháp bổ sung như trừ điểm bằng lái hoặc thu hồi giấy phép lái xe trong trường hợp nghiêm trọng.
Mức phạt đối với ô tô chạy quá tốc độ
Ô tô khi vượt quá giới hạn tốc độ cho phép sẽ bị áp dụng mức phạt tiền tương ứng với từng bậc vượt như từ dưới 10 km/h đến hơn 40 km/h. Ngoài ra, người điều khiển còn có thể bị trừ điểm bằng lái hoặc tước quyền sử dụng giấy phép lái xe tùy theo mức độ nghiêm trọng của vi phạm nhằm đảm bảo tính răn đe cao.
Mức phạt đối với xe máy khi vượt quá tốc độ quy định
Đối với xe máy, Nghị định cũng quy định rõ mức xử lý dành cho từng khoản vượt tốc độ từ nhẹ đến nặng. Người điều khiển xe máy nếu vượt quá giới hạn sẽ chịu phạt tiền và có thể bị áp dụng hình thức tạm giữ giấy phép lái xe hoặc yêu cầu tham gia khóa đào tạo lại về an toàn giao thông để nâng cao kiến thức tuân thủ pháp luật.
Hình thức trừ điểm bằng lái xe và xử lý nghiêm khi gây tai nạn giao thông
Ngoài việc đóng phạt tiền, những trường hợp chạy quá tốc độ dẫn đến tai nạn giao thông hoặc tái phạm nhiều lần sẽ chịu hình thức trừ điểm trực tiếp trên giấy phép lái xe. Việc này nhằm ngăn ngừa tái diễn hành vi nguy hiểm và tăng cường trách nhiệm của người tham gia giao thông đối với an toàn chung.
Quy trình gửi thông báo và phối hợp xử lý vi phạm
Sau khi xác minh được danh tính chủ phương tiện vi phạm, cơ quan chức năng tiến hành gửi thông báo yêu cầu giải quyết vụ việc để chủ xe nhận biết và phối hợp thực hiện nghĩa vụ nộp phạt. Quy trình này đảm bảo tính minh bạch cũng như sự phối hợp chặt chẽ giữa tổ chức công và cá nhân nhằm nâng cao hiệu quả quản lý an toàn giao thông.
Thời hạn gửi thông báo cho chủ phương tiện, tổ chức, cá nhân liên quan
Thông báo về việc vi phạm sẽ được gửi đến chủ sở hữu phương tiện trong vòng thời gian quy định sau khi xác nhận lỗi. Việc này giúp tránh tình trạng bỏ sót hoặc trì hoãn trong việc xử lý vi phạm, đồng thời tạo điều kiện cho người vi phạm có cơ hội giải quyết kịp thời và đúng pháp luật.
Yêu cầu giải quyết vụ việc tại các điểm tiếp dân của Phòng CSGT
Chủ phương tiện hoặc người đại diện có thể tới các điểm tiếp dân của Phòng Cảnh sát Giao thông để làm rõ vụ việc, xác nhận lỗi hoặc thắc mắc liên quan đến biện pháp xử phạt. Đây là cơ chế hỗ trợ người dân tiếp cận trực tiếp với cơ quan chức năng nhằm tạo sự công bằng và khách quan trong xử lý.
Biện pháp sau khi quá thời hạn giải quyết và liên hệ với cơ quan đăng kiểm
Nếu quá thời hạn mà người vi phạm không thực hiện nghĩa vụ nộp phạt hoặc không xuất trình giấy tờ cần thiết, cơ quan công an sẽ phối hợp với đơn vị đăng kiểm để thực hiện các biện pháp mạnh hơn như từ chối cấp hoặc gia hạn đăng kiểm phương tiện nhằm buộc thực thi trách nhiệm pháp lý một cách nghiêm túc.
Hướng dẫn tra cứu thông tin phương tiện vi phạm phạt nguội
Việc tra cứu nhanh chóng và chính xác xem phương tiện có bị lập biên bản phạt nguội hay không là quyền lợi cũng như trách nhiệm của mỗi chủ xe. Hiện nay có nhiều kênh hỗ trợ trực tuyến giúp người dân dễ dàng kiểm tra tình trạng vi phạm một cách thuận tiện ngay tại nhà hay bất kỳ đâu sử dụng internet.
Tra cứu trực tuyến trên website chính thức của Cục Cảnh sát Giao thông
Trang web chính thức của Cục Cảnh sát Giao thông cung cấp dịch vụ tra cứu biên bản xử phạt vi phạm hành chính về trật tự an toàn giao thông rất dễ sử dụng. Người dùng chỉ cần nhập biển số xe hoặc số khung, số máy sẽ nhanh chóng nhận được kết quả chi tiết về tình trạng xử lý các lỗi đã được ghi nhận trước đó.

Hướng dẫn tra cứu online
Sử dụng ứng dụng VNeTraffic để kiểm tra vi phạm giao thông
Ngoài cách truyền thống qua website, ứng dụng VNeTraffic trên điện thoại di động đang ngày càng được nhiều người dùng lựa chọn bởi tính tiện lợi và nhanh chóng. Ứng dụng cung cấp nhiều tính năng hỗ trợ tra cứu trạng thái vi phạm cùng lời khuyên bổ ích về an toàn giao thông.

Tra cứu vi phạm qua ứng dụng VNeTraffic
Ý nghĩa và tác động của việc thực hiện phạt nguội theo Nghị định 168
Việc triển khai rộng rãi hình thức phạt nguội dựa trên camera giám sát kết hợp với quy định Nghị định 168 đã mang đến nhiều thay đổi tích cực cho công tác quản lý vận tải và an toàn giao thông cả nước nói chung cũng như tại khu vực Quốc lộ 1A nói riêng. Hệ thống này góp phần làm giảm thiểu những hành vi coi thường luật lệ đường bộ từ đó xây dựng môi trường lưu thông văn minh hơn.
Tạo sự công bằng và nghiêm minh trong xử lý vi phạm giao thông

CSGT thực thi pháp luật
Hệ thống phạt nguội dựa trên dữ liệu camera giám sát giúp loại bỏ những sai sót do con người gây ra trong việc xử lý lỗi chạy quá tốc độ. Mọi hành động đều được ghi lại minh bạch khiến cho việc áp dụng luật trở nên công bằng hơn đồng thời khắc phục tình trạng nhũng nhiễu thiếu khách quan trong xử lý truyền thống.

CSGT thực thi pháp luật
Nâng cao ý thức chấp hành luật giao thông của người dân

CSGT thực thi pháp luật
Việc áp dụng chế tài rõ ràng cùng hệ thống giám sát hiện đại khiến người điều khiển ô tô và xe máy dè chừng hơn mỗi khi tham gia lưu thông. Điều này góp phần hình thành thói quen tuân thủ giới hạn tốc độ giúp giảm thiểu nguy cơ xảy ra tai nạn đáng tiếc cũng như đảm bảo an toàn chung cho tất cả mọi người.

CSGT thực thi pháp luật
Giảm thiểu tai nạn giao thông và ùn tắc trên tuyến đường huyết mạch

CSGT thực thi pháp luật
Chạy đúng tốc độ không những giúp tránh nguy cơ va chạm mà còn góp phần giảm bớt tình trạng ùn tắc giao thông kéo dài đặc biệt vào những giờ cao điểm hay dịp lễ tết. Nhờ vậy chất lượng dịch vụ vận tải cũng được cải thiện tốt hơn tạo điều kiện thuận lợi cho phát triển kinh tế xã hội địa phương.

CSGT thực thi pháp luật
Khuyến cáo dành cho chủ phương tiện trong việc chấp hành luật giao thông và xử lý phạt nguội

Khuyến cáo cho chủ phương tiện
Chủ xe đóng vai trò vô cùng quan trọng trong việc duy trì trật tự an toàn khi lưu hành. Bên cạnh đó, khi nhận được các cảnh báo hay yêu cầu nộp phạt nguội cần phối hợp nhanh chóng để tránh phát sinh thêm hậu quả không mong muốn hoặc mất quyền lợi cá nhân liên quan đến giấy phép lái xe hay hoạt động đăng kiểm.
Chủ động kiểm tra tình trạng vi phạm và nộp phạt kịp thời

Khuyến cáo cho chủ phương tiện
Việc thường xuyên tra cứu các lỗi đã bị lập biên bản qua hệ thống trực tuyến giúp chủ xe kịp thời biết rõ tình trạng mình đang ở đâu trong quá trình xử lý hồ sơ lỗi chạy quá tốc độ cũng như tránh bị tính thêm tiền phạt do trễ hạn thanh toán.
Việc có tới 798 chủ xe chạy quá tốc độ trên Quốc lộ 1A nhanh chóng hoàn tất thủ tục nộp phạt nguội theo Nghị định 168 chính là minh chứng rõ nét cho hiệu quả thiết thực của hệ thống giám sát hiện đại cùng quy trình cưỡng chế nghiêm ngặt mà Nhà nước đang triển khai. Qua đó góp phần xây dựng môi trường giao thông an toàn – văn minh đồng thời nâng cao ý thức trách nhiệm của mỗi cá nhân trong cộng đồng tham gia lưu thông.

